Для сооружения скважин на воду используют различные способы и технологии бурения. Разные способы бурения имеют определенные преимущества и недостатки, поэтому в зависимости от целевых задач и условий их применения существуют области их рационального использования. Критериями целесообразности использования того или иного способа бурения являются технико-экономические показатели и выполнение поставленных геологических задач.
Вращательное (роторное) бурение сплошным забоем является
основным способом, который используется в практике, на его долю приходится более
90 % всего выполняемого объема работ.
С целью повышения геологической
информативности все скважины роторного бурения подвергаются геофизическим
исследованиям (каротажу) и гидрогеологическому
опробованию.
Используемый породоразрушающий инструмент
В качестве породоразрушающих инструментов используют различных типов и конструкций шарошечные и лопастные долота, в случаях бурения разведочных скважин малого диаметра (до 150—200 мм) используют пикобуры. В плотных породах средней твердости (до VII категории) вместо шарошечных долот можно применять лопастные долота режуще-истирающего типа (РИД).
Алмазные долота используют исключительно в глубоких скважинах (более 3000 м) и в плотных неабразивных породах.
Гидромониторные долота в рыхлых и мягких породах обеспечивают более
высокие механические скорости, чем долота с традиционной схемой промывки. Однако
в практике сооружения скважин на воду, где преобладают относительно небольшие
глубины бурения, долото такого типа используют редко из-за того, что они требуют
применения достаточно мощных насосов для преодоления потерь давления на
гидронасадках (до 30—40 МПа). Диаметр бурильных труб dб.т. подбирают
из расчета d б.т. = (0,6—0,7) •Dд, где Dд -
диаметр долота.
Режим бурения
В мягких и рыхлых породах режим промывки скважины оказывает наиболее значительное влияние на показатели бурения. А. Я. Третьяк выполнил серию экспериментов при бурении лопастными долотами диаметром 190 мм в породах III категории по буримости. Повышение плотности промывочной жидкости от 1,02 до 1,3 г/см³ и вязкости от 17 до 40 с является причиной снижения механической скорости бурения в 2—2,5 раза. Увеличение подачи промывочной жидкости от 200 до 300 л/мин повышает скорость бурения в 1,6 раза. В породах средней твердости и выше это влияние значительно слабее.
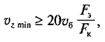
В мягких и средних по твердости породах В. М. Беликовым экспериментально установлено, что механическая скорость зависит от скорости движения потока промывочной жидкости в затрубном пространстве v zmin, м/мин:
(9.1)
где V6 — механическая скорость бурения, м/мин;
F3 — площадь забоя, м:; FK — площадь кольцевого
пространства, м².
Жидкость может протекать в ламинарном и турбулентном
режимах. Последний характеризуется большей выносной способностью и поэтому
является более предпочтительным с позиций удаления бурового шлама с забоя.
Искусственно перевести режим течения потока в турбулентный можно, если над
долотом и в колонне труб устанавливать специальные устройства —
турбулизаторы (рис. 9.1), позволяющие дополнительно
сообщать потоку некоторую окружную составляющую скорости. Качественное изменение
течения потока и переход к турбулентному режиму происходит при величине закрутки
σ:
(9.2)
где ω-угловая частота вращения, с-1; D — диаметр турбулизатора, м;
d — диаметр корпуса турбулизатора, м; vz— вертикальная
скорость потока, м/с.
Применение турбулизаторов позволяет повысить
скорость бурения, снизить вероятность образования «сальников» на колонне труб,
затяжек инструмента и т. п. Переход к турбулентному режиму зависит от параметров
промывочной жидкости.
(9.3)
где v — скорость, при которой режим течения переходит в
турбулентный, М/МЦ; р — плотность раствора, кг/м³; τ —
динамическое напряжение сдвига, Па.

Рис. 9.1.
Турбулизатор
В роторном бурении геологическую документацию ведут
главным образом по шламу, который систематически отбирают в процессе угубки. Для
отбора керна используют колонковые снаряды и бурильные головки. В практике
обычно используют передвижные установки роторного типа или установки с подвижным
вращателем.

