Кратковременные откачки, ведущиеся в течение короткого времени (до месяца), производят с использованием эрлифтов. Условием их применения является соотношение
H=kh (9.18)
где Н—глубина спуска воздушных труб, м; h — динамический уровень, м; k —коэффициент погружения, k = 3,0—1,5.
Преимущества эрлифта:
- простота конструкции и надежность работы;
- возможность получения дебитов (до 250 м3/ч) из скважин сравнительно малого диаметра;
- возможность откачки воды с содержанием песка до 10—15%.
Недостатки эрлифта:
- необходимость высокого столба воды в скважине;
- низкий коэффициент полезного действия (КПД = 30%).
Используют три схемы расположения воздушных и водоподъемных труб (рис. 9.17). В производстве в основном применяют схему c центральным расположением воздушных труб как более простую при монтажно-демонтажных работах.

Рис. 9.17. Схема эрлифтов:
а — параллельная
(эксцентрическая) система с расположением труб «рядом»; 6— центральная
(концентрическая) система — воздухопроводные трубы внутри водоподъемных; в —
центральная система — водоподъемные трубы внутри воздухопроводных труб
В водоподъёмных трубах, помимо воздушных устанавливают пьезометрические трубы, для измерения динамического уровня во время откачки. Чтобы исключить влияние динамической составляющей давления воздушного потока на результат измерения, пьезометрические трубки опускают ниже форсунки воздушных труб на 3—4 м. Внутренний диаметр пьезометрических труб должен позволять делать измерения уровня воды в водоподъемных трубах с помощью датчика электрического уровнемера (12—16 мм).
Удельный расход сжатого воздуха V o (м³) при атмосферном давлении для подъема 1 м³ воды равен
(9.19)
где h—высота подъема воды, м.
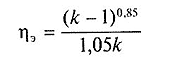
Гидравлический КПД эрлифта η3 определяют по формуле
(9.20)
Гидравлический КПД эрлифта η, зависит от коэффициента его погружения: для коэффициента погружения k = 3,0—2,5 КПД составляет 0,57-0,59, для k = 1,75-1,65 КПД = 0,40-0,41.
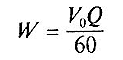
Максимальной производительности эрлифта достигают при некотором оптимальном удельном расходе воздуха. Объемный расход воздуха W (м3/мин) для подъема воды эрлифтом в количестве Q равен
(9.21)
Подача компрессора Wk (м3/мин) равна
Wk=k1k2W, (9.22)
где k1 — коэффициент, учитывающий изменение подачи компрессора в зависимости от температуры воздуха и расположения компрессора над уровнем моря k1 = 1,2; k2 — коэффициент, учитывающий уменьшение пространства за счет расположения воздушных труб внутри водоподъемных, k2:= 1,05-1,2.
Использование поршневых компрессоров
В качестве генераторов сжатого воздуха используют главным образом передвижные компрессоры поршневого типа, развивающие давление 0,8 МПа и производительность до 11 м3/мин.
Для производства откачек с большей производительностью примете отечественные двухступенчатые поршневые или стационарные компрессоры, а также ротационные компрессоры ряда зарубежных фирм («Атлас-Копко» и др.), развивающие давление до 2,5—4,5 МПа и подачу сжатого воздуха до 20-40 м3/мин.
Рабочее давление компрессора Рк составляет
(9.23)
Выбор компрессора производят по двум параметрам: подаче Wk и рабочему давлению Рк.
Объемный расход водо-воздушной смеси зависит от давления, при котором эта смесь находится. По мере подъема смеси давление падает, воздушные пузырьки увеличиваются, вследствие чего скорость подъема смеси постепенно возрастает.
При глубоких динамических уровнях для выравнивания скорости движения смеси применяют ступенчатую конструкцию водоподъемной колонны: в нижней части (0,3—0,5 от ее длины) устанавливают трубы меньшего диаметра, в верхней — трубы большего диаметра. В нижней части колонны (непосредственно над смесителем) скорость движения смеси принимают не менее 3,0 м/с, а на изливе — около 10 м/с.
Форсунка воздушных труб представляет собой отрезок перфорированной трубы до 2—2,5 м. Диаметр отверстий и их число выбирают из условия, достаточного для полного смешения газа с водой.
Внутренний диаметр водоподъемных труб DB (м) определяют по приближенной формуле
(9.24)
где Qсм — производительность эрлифта (смеси: вода — воздух), м3/с; vи —скорость смеси на изливе, м/с; d—наружный диаметр воздушных труб, м.
Диаметр воздушных труб подбирают таким образом, чтобы скорость сжатого воздуха в них была не более 10 м/с —это обеспечивает наименьшие потери давления. Приближенно диаметр воздушных труб меньше внутреннего диаметра водоприемных труб в 4,5—8 раз.
Внутренний диаметр воздушных труб (м) определяют по формуле
(9.25)
где Wk - подача компрессора, м3/мин; V - установленная скорость движения воздуха в трубе, м/с (v =10 м/с)
На практике часто вместо металлических воздушных труб применяют paзличные шланги, что значительно упрощает монтажно-демонтажные операции.

