Устойчивость кровли сохраняется при выполнении следующего условия:
R≤0,75mf (9.10)
где R — радиус каверны, м; m — мощность пласта, м; f—коэффициент крепости пород по шкале М. М. Протодьянова

Рис. 9.9. Схема
бесфильтровой скважины
После вскрытия водоносного пласта ствол скважины оборудуется эксплуатационной колонной с обязательным тампонажем. Разработка каверны осуществляется эрлифтом с подач воды по специальной колонне труб в начальный период откачки (рис. 9.10).
Необходимым условием работы эрлифта, особенно в первоначальный период
времени, является его безостановочная работа. В конце откачки путем накопления
воздуха в ресивере и моментального его пуска в скважину создаются так называемые
пневмоудары.

Рис. 9.10. Схема сооружения бесфильтровой
скважины:
1—компрессор; 2—насос; 3 — отстойник; 4— эрлифтные трубки; 5—
трубы для подачи воды; б —обсадные трубы; 7— цементное кольцо:
8— водоприемная воронка; 9— водоносный пласт
Это ускоряет процесс формирования воронки, так как способствует разрыхлению песчаных пород. После пневмоудара содержание песка в откачиваемой воде увеличивается. Откачка эрлифтом на первом этапе разработки воронки может сочетаться с одновременной подачей воды в пласт по дополнительной колонне труб. Процесс формирования воронки обычно заканчивается за 3—5 сут. Объем вынесенного песка составляет 10—30 м³ однако имеются случаи, когда формируются воронки с большим радиусом и объем вынесенного песка достигает 200 м³. Бесфильтровые скважины бесперебойно работают по 10—20 лет и более, дебиты в течение времени изменяются незначительно. Бесфильтровые скважины даже при достаточно небольшой мощности водоносного пласта (до 3—4 м) позволяют получать высокие дебиты.
Глубина размытой каверны может быть найдена из формулы
(9.11)
где Vk - каверны, м; φ — угол естественного откоса, φ ≈ 20—30°.
Объем песка при откачке Vп равен
Vп=Vpkk (9.12)
kр —коэффициент разрыхления песка, kр≈1,2.
Проектный дебит бесфильтровой скважины зависит от радиуса разработанной каверны, который в свою очередь определяется устойчивостью пород кровли. Минимальная мощность пород прочной кровли можно быть не менее 2—3 м. Повысить устойчивость пород кровли ели эксплуатационная колонна будет качественно зацементирована. В случае если кровля представлена глинистыми породами то возможно частичное обрушение пород кровли. В практике cooружения бесфильтровых скважин применяют засыпку гравия в воронка что также повышает устойчивость пород кровли.
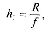
Высоту свода (см. рис, 9.9) равновесия h1, определяют по формуле
(9.13)
где R — радиус воронки, м; f — коэффициент крепости пород по шкале М. М. Протодьяконова.
Радиус воронки R находят из объема вынесенного песка:
(9.14)
где Vп — объем вынесенного песка, м³
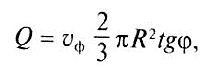
Проектный дебит бесфильтровой скважины рассчитывают по формуле
(9.15)
где Q — проектный дебит, м³/ч; vф — допустимая скорость фильтрации воды, м/ч.
Дебиты бесфильтровых скважин ограничены условиями пескования скважины, которые определяют допустимой скоростью фильтрации. Поэтому во избежание пескования эксплуатационный дебит должен быть в 1,3—1,4 раза ниже фактического.

